Biến đổi ngược sau cộng sóng - Phần 1
Có các phương pháp khác biến quy, biến đổi ngược theo mô hình, biến đổi ngược lựa chọn, biến đổi ngược theo phổ tần số. Sơ đồ khối biến đổi ngược sau cộng sóng được thể hiện trên hình 7.8.
![]() |
| Hình 7.8 - Sơ đồ khối biến đổi ngược sau cộng sóng |
Biến đổi ngược hồi quy (Recursive inversion)
Biến đổi ngược hồi quy dựa trên quá trình tính toán hồi quy trở sóng của các lớp bất kỳ từ giá trị hệ số phản xạ và trở sóng của lớp trên cùng.
Giả sử trong môi trường trầm tích có Nj tập đất đá. Mật độ và tốc độ của tập thứ j là p(j) và v(j). Trên cơ sở mô hình thuận, trở sóng Z(j) và hệ số phản xạ r(j) được xác định như sau:
Z (j) = p(j) v(j)
r(j)= [Z(j)-Z (j-1)] / [Z (j)+ Z (j-1)]
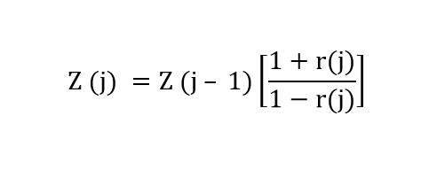
Từ đó có thể xác định trở sóng của tập thứ (j) theo trở kháng tập thứ (j-1) phía trên nó và hệ số phản xạ r(j):
![]() |
Hoặc có thể tính nội suy từ trở sóng của tập thứ nhất trên cùng Z(1)
![]() |
Hệ số phản xạ r(j) được xác định từ quá trình tách bỏ dạng xung địa chấn từ đường ghi địa chấn bằng quá trình lọc ngược.
Bước cuối cùng là đối sánh mô hình phân tích ngược từ tài liệu địa chấn với kết quả xác định từ tài liệu giếng khoan để khẳng định tính đúng đắn của mô hình được xây dựng. Điều lưu ý là cần lựa chọn bộ lọc tần số thích hợp vì có sự khác biệt về dải tần số của hai loại mô hình.
Trên hình 7.9 thể hiện quá trình biến đổi ngược hồi quy. Việc xác định quy luật tần thấp để có sự phù hợp giữa tài liệu giếng khoan và tài liệu địa chấn được nêu trên hình 79a. Quá trình tính hồi quy được thể hiện trên hình 7.9b và quá trình xác định quy luật trở sóng cuối cùng được nêu trên hình 7.9c Trên hình 7.10 là hình ảnh minh họa so sánh lát cắt địa chấn và lát cắt trở sóng sau biến đổi ngược hồi quy.
![]() |
| Hình 7.9 - Quá trình biến đổi ngược hồi quy - a. Xác định quy luật biến đổi tần thấp; b. Tính hồi quy giá trị trở sóng, c. Xác định giá trị trở sóng có sử dụng quy luật biến đổi tần thấp |
![]() |
| Hình 7.10 - So sánh lát cắt địa chấn (a) với lát cắt trở sóng sau biến đổi ngược - a. Lát cắt địa chấn; b. Lát cắt trở sóng sau biến đổi ngược hồi quy hồi quy (b) |
Biến đổi ngược theo mô hình (Model based Inversion)
Biến đổi ngược theo mô hình là từ các dự báo ban đầu đưa ra một mô hình phân lớp giả định, tính tích chập giữa dạng xung sóng với sự phân bố hệ số phản xạ để tạo nên băng địa chấn từ mô hình đó. So sánh mạch địa chấn tính được theo mô hình với mạch địa chấn đo được để điều chỉnh mô hình trở sóng đã dự báo phù hợp với thực tế.
Biến đổi ngược theo mô hình bắt đầu với quá trình tích chập dạng xung (W) đã biết với mô hình hệ số phản xạ (R) giả định, có tính đến nhiễu, từ đó tính được mạch địa chấn (S):
S = W * R + Nhiễu
Đây là bài toán phi tuyến tính, vì vậy giải pháp được thực hiện lặp đi lặp lại. Sử dụng mô hình này và dạng xung đã biết để xác định băng địa chấn tổng hợp. Biến đổi ngược theo mô hình cho kết quả tần số cao, băng rộng, tuy nhiên các chi tiết tần số cao có được từ mô hình dự đoán ban đầu chứ không phải từ dữ liệu địa chấn. Sơ đồ quy trình biến đổi ngược theo mô hình và hình ảnh được thể hiện trên hình 7.11. Trên hình 7.12 là hình ảnh hình thành băng địa chấn tổng hợp từ mô hình và so sánh với băng địa chấn thực tế để điều chỉnh mô hình trở sóng. So sánh lát cắt địa chấn với lát cắt trở sóng sau khi đổi ngược biến đổi ngược theo mô hình được thể hiện trên hình 7.13.
![]() |
| Hình 7.11 - Sơ đồ quy trình biến đổi ngược theo mô hình |
![]() |
| Hình 7.12 - Sự hình thành băng địa chấn tổng hợp và so sánh với băng địa chấn thực tế |
![]() |
| Hình 7.13 - So sánh lát cắt địa chấn với lát cắt trở sóng sau biến đổi ngược theo mô hình a. Lát cắt địa chấn; b. Lát cắt trở sóng sau biến đổi ngược |
Biến đổi ngược chọn lọc (Sparse Spacke Inversion)
Biến đổi ngược chọn lọc được tiến hành với giả định rằng trong tập hợp phân bố các giá trị hệ số phản xạ trong thực tế thì chỉ có các xung có giá trị lớn mới liên quan đến các sóng phản xạ thực còn các xung nhỏ chủ yếu là do nhiễu (hình 7.14).
![]() |
| Hình 7.14 - Chọn hệ số phản xạ phục vụ biến đổi ngược chọn lọc |
Từ giả định này có thể tạo ra các mạch địa chấn bằng cách tích chập dạng xung với mô hình có phân bố các giá trị hệ số phản xạ đã được chọn lọc (có giá trị lớn). So sánh mạch địa chấn tính toán với mạch địa chấn đo được để khẳng định giá trị trở sóng cần xác định. Biến đổi ngược chọn lọc xây dựng chuỗi hệ số phản xạ tăng dần theo thời gian các hệ số phản xạ được bổ sung thêm vào cho đến khi mạch của mô hình đủ chính xác. Biên độ của các khối trở kháng được xác định theo thuật toán biến đổi ngược theo mô hình (hình 7.15).
![]() |
| Hình 7.15 - Các bước lặp để xác định mô hình gốc |
Các bước tiến hành biến đổi ngược chọn lọc gồm:
- Thiết lập mô hình phản xạ với số lượng tối thiểu các hệ số phản xạ nhằm giảm tính đa trị của kết quả.
- Kết hợp mô hình phản xạ với một dạng xung được trích xuất từ địa chấn và tài đo địa vật lý trong giếng khoan.
- So sánh kết quả mạch địa chấn tính toán với mạch địa chấn đo được.
- Giảm thiểu sai số giữa mạch địa chấn tính được và mạch địa chấn thực tế.
- Sử dụng bộ lọc tần số thấp với tài liệu từ đường cong đo trong giếng khoan với mô hình phản xạ tối ưu.
Sơ đồ quy trình biến đổi ngược chọn lọc được nêu trên hình 7.16. So sánh lát cắt địa chấn với lát cắt trở sóng sau khi đổi ngược biến đổi ngược chọn lọc được thể hiện trên hình 7.17.
![]() |
| Hình 7.16 - Sơ đồ quy trình biến đổi ngược chọn lọc |
![]() |
| Hình 7.17 - So sánh lát cắt địa chấn với lát cắt trở sóng sau biến đổi ngược chọn lọc - a. Lát cắt địa chấn; b. Lát cắt trở sóng sau biến đổi ngược chọn lọc |
Hình 7.18 so sánh kết quả lọc ngược chọn lọc với trở sóng tương đối, trên lát cắt trở sóng tương đối vỉa chứa có độ phân giải tốt hơn. Trong đó với biến đổi hồi ngược quy (hình 7.18b) thực hiện dễ dàng và nhanh chóng và không tăng độ phân giải. Biến đổi ngược theo mô hình (hình 7.18c) độ phân giải được tăng lên nhưng phụ thuộc nhiều vào mô hình ban đầu. So sánh 2 loại biến đổi ngược cho thấy kết quả khá giống nhau, tuy nhiên biến đổi ngược theo mô hình cho nhiều chi tiết hơn. Biến đổi ngược chọn lọc (hình 7.18d) mô hình đơn giản phù hợp với địa chấn, ít sự kiện địa chất và ít phụ thuộc vào mô hình ban đầu.
![]() |
| Hình 7.18 - So sánh lát cắt biến đổi ngược chọn lọc và trở sóng tương đối - a. Lát cắt biến đổi ngược chọn lọc; b. Lát cắt biến đổi ngược trở sóng tương đối |
Trên hình 7.19 là sự so sánh lát cắt địa chấn ban đầu với các lát cắt sau biến đổi ngược hồi quy, biến đổi ngược theo mô hình và biến đổi ngược chọn lọc.
![]() |
| Hình 7.19 - So sánh lát cắt địa chấn ban đầu với các lát cắt sau biến đổi ngược - a. Lát cắt địa chấn ban đầu; b. Lát cắt biến đổi ngược hồi quy; c. Lát cắt biến đổi ngược theo mô hình; d. Lát cắt biến đổi ngược chọn lọc |
Theo Minh giải địa chấn trong thăm dò và khai thác dầu khí














